



Neues aus der GL8 Sport-Welt
Mit den GL8 Sport-News informieren wir Sie über die aktuellen Projekte und Aktivitäten von GL8 Sport und halten Sie „auf dem Laufenden“ wie es den von uns betreuten Athleten im Training und auch bei den Wettkämpfen ergeht.
Regelmäßig werden wir an dieser Stelle auch über neueste Erkenntnisse in der Sportmedizin und Sportwissenschaft berichten und geben Ihnen zudem praktische Tipps zu Themen wie Gesundheit und Sport. Wir wünschen Viel Spaß beim Lesen und sind für Anregungen und Verbesserungsvorschläge immer offen.
Fitness zum Verschenken
4. Dezember 2015 - Das GL8 Sport-Team möchte Ihnen auch in diesem Jahr wieder die Gutschein-Aktion ans Herz legen.
Machen Sie Ihren sportbegeisterten Liebsten garantiert eine Freude.
Die Gutscheine sind mit Ihrem Wunschbetrag für all unsere Dienstleistungen flexibel einlösbar:
- Leistungsdiagnostik (Laktattest, Spiroergometrie)
- Individuelle Trainingsbetreuung
- Gewichtsmanagement
- Bike Fitting
- Beratungsvermessung für Radkäufer
- Workshops und Seminare
- uvm.
Sprechen Sie uns an, wir helfen Ihnen gerne weiter!
Bitte denken Sie daran, dass die Post vor Weihnachten viel zu tun hat. Damit der Gutschein rechtzeitig zum Weihnachtsfest bei Ihnen im Briefkasten liegt, sollten Sie möglichst bis zum 21. Dezember Ihre Bestellung bei uns einreichen.
Marathon-Zielzeit stetig verbessert
30. November 2015 - Wer nach einer Pause wieder mit dem Ausdauersport beginnt, der tut gut daran, zuvor sein Fitness-Level auf den Prüfstand zu stellen. Das dachte sich auch Hartmut Bulling, als er das GL8 Sport-Team kontaktierte.
Nach einer längeren Laufpause hat der mittlerweile 55-Jährige 2013 wieder mit dem Training für die Langstrecke begonnen und seine Leistungen dabei stetig gesteigert. Den ersten Marathon nach der lauffreien Zeit absolvierte Bulling in Düsseldorf noch ohne Trainingsbegleitung durch GL8 Sport in 4:33h.
Beim nächsten Marathon, den er im Frühjahr 2014 in Wien lief, war Hartmut Bulling bereits fast eine halbe Stunde früher im Ziel (4:05:57h). Im Herbst des gleichen Jahres knackte er in Florenz erstmals wieder die magische 4-Stunden-Marke mit 3:56:41h. Bereits hier zeigte die Trainingsbegleitung durch GL8 Sport also deutliche Wirkung.
Durch regelmäßige Leistungsdiagnostiken und individuelle Trainingspläne konnte der Hobby-Läufer aus Burscheid nach einer fünfmonatigen Vorbereitungszeit nun beim Frankfurt-Marathon seine persönlich Bestzeit auf 3:49:17h herunterschrauben. Seine bisherige schnellste Zeit über die 42,195 Kilometer lange Strecke lag bei 3:50:11h aus 2007 - da war er allerdings auch erst 47 Jahre alt.
Das nächste Ziel ist eine Finisher-Zeit von 3:45h, die Hartmut Bulling im Herbst 2016 erlaufen will. Die Vorbereitung dafür startet bereits jetzt im Dezember und wird wieder unterstützend durch GL8 Sport begleitet.
Wenn auch Sie Ihre Marathon-Zielzeit verbessern wollen, dann sprechen Sie uns an. Wir sind die Experten und helfen Ihnen gerne.
Neue Messtechnik für GL8 Sport
27. November 2015 - Für GL8 Sport-Chef Rainer Schwab stand vor wenigen Tagen in Münster das ISCO Symposium 2015 auf dem Programm. ISCO steht in diesem Fall für „International Symposium On Cycling Optimization“, es traf sich dort also das Who is Who der weltweiten Bike Fitter-Szene. Namhafte Referenten, wie zum Beispiel Sebastian Weber, Phil Cavell und Andy Francioni erklärten den Teilnehmern die neuesten Erkenntnisse aus der Welt des Bike Fittings.
„Ich habe mich wieder richtig auf die Teilnahme am Symposium gefreut“, sagt Rainer Schwab. „Man selbst lernt ja nie aus und unsere Kunden werden sicherlich von der ein oder anderen Neuerung profitieren. Zudem eignen sich solche Veranstaltungen ideal zum Netzwerken.“
Das Symposium wird alle zwei Jahre von gebioMized® ausgerichtet. Von dieser Firma stammen auch die beiden neuesten Messinstrumente, die ab sofort den Kunden von GL8 Sport zur Verfügung stehen.
NEU BEI GL8 SPORT
Wir haben nun eine neue Satteldruckmessung im Programm, bei der 64 Sensoren die Druckverteilung auf dem Sattel erfassen. Die einfache, aber präzise Technik erlaubt es, die Messungen statisch und aber auch während des Fahrens zu durchzuführen. Der Bike Fitter erhält so einen direkten Einblick in die Druckbelastungen zwischen Fahrer und Sattel und kann die ergonomische Qualität einer Satteleinstellung oder auch die Tauglichkeit eines Sattels für den einzelnen Radfahrer objektiv bewerten.
Von der neuen Aero-Pad Druckmessung von gebioMized profitieren vor allem Triathleten und Zeitfahrer. Mit dieser Messtechnik lässt sich die ergonomisch optimale Position und Ausrichtung der Armauflagen des Aeroaufsatzes ermitteln, um auch lange Strecken bequem und kraftsparend absolvieren zu können. Die Aero-Pad-Druckmessung ermöglicht es, die Gewichtsverteilung des Fahrers zwischen Lenker und Sattel noch besser abzustimmen.
Sie wollen Ihr Bike optimal anpassen lassen? Wir helfen Ihnen gerne. Sprechen Sie uns an!
Like it!
17. November 2015 - Aktuelle News und Informationen zu den Angeboten von GL8 Sport gibt es jetzt auch auf Facebook. Liken Sie unsere Seite und lesen Sie spannende Berichte von unseren Sportlern, aktuellen Entwicklungen aus der Leistungsdiagnostik und besonderen Angeboten.
Natürlich können Sie sich auch per Twitter über GL8 Sport auf dem Laufenden halten. Folgen Sie einfach unseren regelmäßigen Tweets.
Ein kleiner Pieks für ein optimales Training
17. November 2015 - Eine Leistungsdiagnostik gehört zu den Basiswerkzeugen im Bereich der Trainingssteuerung. Mit Hilfe eines Laktattests oder einer Atemgasanalyse (Spiroergometrie) kann gemessen werden, wie fit ein Sportler bei bestimmten Belastungen ist.
Am 30. Oktober hatte das GL8 Sport-Team wieder zu einem Feldstufen-Laktattest in die Ostkampfbahn im Schatten des Kölner RheinEnergie-Stadions eingeladen. Wie der Name schon sagt, wird der Leistungstest hierbei nicht auf dem Laufband, sondern unter freiem Himmel, also im „Feld“ durchgeführt.
Die Athleten laufen nach definierten Geschwindigkeiten um den Platz und bekommen in regelmäßigen Abständen eine geringe Menge Blut aus dem Ohrläppchen abgezapft. Je größer die Belastung wird, umso mehr steigt auch der Laktatspiegel im Blut.
Anhand der individuellen Leistungsdaten kann so der Fitnesszustand bestimmt werden. Anschließend werden die erhobenen Werte dazu genutzt, um einen individuellen, auf die persönlichen Ziele abgestimmten Trainingsplan zu erstellen.
Wenn auch Sie Ihr Lauftraining optimieren wollen, dann lassen Sie es uns wissen. Gerne laden wir Sie dann zum nächsten Feldstufen-Test ein.
Es muss nicht immer Köln sein
13. Oktober 2015 - Während vieler seiner Teamkollegen vom GL8 Sport-Team beim Rennen in Köln antraten, ging es für Zsolt Radics am 4. Oktober in Brüssel auf die Marathonstrecke.
Aufgrund einer Verletzung hatte Zsolt zuletzt nicht in dem Umfang trainieren können, den er gewohnt war. Dennoch absolvierte er die sehr anspruchsvolle und hügelige Strecke durch Belgiens Hauptstadt in 3:59 Stunden und blieb damit knapp unter der magischen 4-Stunden-Marke.
Zsolt Radics läuft diese Marathons im Rahmen seines persönlichen Projekts "Jeden Marathon in der Hauptstadt eines europäischen Landes laufen“. Als nächstes steht daher im Frühjahr 2016 das Rennen in Madrid auf dem Plan.
Sie haben die 4-Stunden-Marke beim Marathon bisher nicht knacken können? Wir helfen Ihnen dabei! Sprechen Sie uns an.
GL8 Sport-Athleten mit starker Leistung
13. Oktober 2015 - Seine persönliche Bestzeit auf einer Halbmarathonstrecke um mehr als zwei Minuten zu verbessern ist schon eine tolle Leistung. Dies gelang Raphael Wehrmann, der beim diesjährigen Kölnmarathon mit einer Zielzeit von 01:29:07 Stunden seine alte Bestmarke aus dem Jahr 2012 von 01:31:33 Stunden übertreffen konnte.
Auch Michael Arzt aus dem GL8 Sport-Team hat seine alte Bestzeit aus dem Jahr 2010 mit 01:34:30 Stunden um 51 Sekunden auf 01:33:39 Stunden verbessert.
„Noch mehr gefreut hat mich aber, dass ich im April in Bonn noch 01:39:40 Stunden gelaufen bin und danach völlig fertig war. Jetzt wieder sechs Minuten schneller laufen zu können war schon toll", so Michael Arzt.
Ebenfalls mit im Rennen waren Michael und Ulrike Braun. Während Michael die Marathonstrecke in 3:29 Stunden absolviert hat, erreichte seine Frau das Ziel nach der Halbdistanz in 1:53:31 Stunden. Dank einer guten Vorbereitung mit einer gezielten Trainingssteuerung hat Ulrike sich ihre Kräfte dabei so gut einteilen können, dass sie die zweite Hälfte des Rennens schneller laufen konnte als die erste.
Wenn auch Sie sich optimal auf einen Marathon oder Halbmarathon vorbereiten wollen, dann sprechen Sie uns an. Wir versorgen Sie mit den optimalen Trainingsplänen.
Laufgruppe der Koelnmesse finished beim Kölnmarathon
13. Oktober 2015 - Der diesjährige Marathon am 4. Oktober in Köln war für viele Mitglieder der von uns betreuten Laufgruppe der Koelnmesse ein voller Erfolg. Insgesamt zehn Läuferinnen und Läufer schafften ihr gestecktes Ziel und beendeten das Rennen nach einem Halbmarathon.
„Ich freue mich, dass alle die Strecke bewältigt haben“, sagt GL8 Sport-Chef Rainer Schwab. „Teilweise sogar mit einer persönlichen Bestzeit. Da hat sich das viele Training doch gelohnt.“
Eine Läuferin der Koelnmesse-Laufgruppe war besonders glücklich, denn sie durfte sich nach 42,195 absolvierten Kilometern sogar über ihr Marathon-Finish freuen.

Uhlhaas und Lausmann geben Vollgas
28. August 2015 - Der August stand für Triathlet Holger Uhlhaas ganz im Zeichen der Mitteldistanz. Nachdem er Anfang des Monats in Zülpich an den Start ging, stand dann am 15.8. der Hückeswagener Triathlon auf dem Programm.
Das Rennen in Hückeswagen war sowohl vom Athleten, als auch von Trainer Rainer Schwab als Saisonhöhepunkt geplant und die Steuerung der Formkurve hat optimal funktioniert.
„Die Laufzeit ist für meine Verhältnisse überragend und schneller als meine bisheriger persönliche Halbmarathon-Bestzeit von 1:45 Stunden“, freute sich Holger Uhlhaas nach dem Rennen.
Diese Leistung ist nicht zuletzt deswegen so beachtlich, weil es die Laufstrecke in Hückeswagen mit insgesamt 291 zu überwindenden Höhenmetern wirklich in sich hatte.
„Das war ein schöner Abschluss für eine tolle Saison, die mich motiviert ins kommende Jahr blicken lässt“, so Uhlhaas.
In seiner Altersklasse M40 wurde er in diesem Rennen Zehnter von 16 Startern. Ein Blick auf die nächsthöhere Altersklasse (M45), in der Uhlhaas ab dem kommenden Jahr starten wird, lässt spannende Ergebnisse erwarten. Mit der Gesamtzeit von 4:52:22 Stunden wäre er hier auf Rang 40 von 73 Triathleten gelandet.
Eine Woche zuvor bildete die Teilnahme am Zülpich-Triathlon über die „Light-Distanz“ (0,5km / 22km / 5km) den Abschluss der Vorbereitung auf den Saisonhöhepunkt in Hückeswagen. Hier schaffte Holger Uhlhaas mit dem 3. Platz in der Altersklasse M40 sogar den Sprung aufs Podium. Auch der 30. Platz von insgesamt 211 Teilnehmern konnte sich durchaus sehen lassen.
Mit Martin Lausmann startete ein weiterer, von GL8-Sport betreuter Athlet, im August bei einem Triathlon. Nach der Mitteldistanz Ende Juni in Amsterdam stand am der Ironman 70.3 in Wiesbaden auf dem Programm.
Dieses Rennen verlangte den Athleten über die Mitteldistanz einiges ab. Vor allem die anspruchsvolle Radstrecke durch die Ausläufer des Taunus mit 1600 Höhenmetern auf 90 km war eine große Hürde und auch die anschließende Laufstrecke hatte es in sich.
Insgesamt war Martin Lausmann mit der Gesamtzeit von 6:34 Stunden durchaus zufrieden. Wie schwer die Radstrecke wirklich war, zeigte sich unter anderem darin, dass er für die gleiche Distanz wie in Amsterdam mehr als eine Stunde länger unterwegs war und ihn auch die Laufstrecke mit einer Zeit von 2:16 Stunden ihn ordentlich gefordert hat.
Sie wollen Ihr Triathlon-Training optimieren? Kein Problem, wir helfen Ihnen dabei!
Methodische Neuerungen in der professionellen Leistungsdiagnostik
18. August 2015 - Wer im Leistungsbereich trainiert, muss genau wissen was er macht. Das gilt vor allem für Ausdauersportler, die sportartbedingt mit hohen Trainingsumfängen zu tun haben. Das GL8 Sport-Team arbeitet daher stetig daran, bisher genutzte Diagnostik-Lösungen auf den Prüfstand zu stellen und wenn nötig zu optimieren.
Im Paket „Leistungsdiagnostik professionell“ werden standardmäßig unter anderem Laktatwerte, Herzfrequenz und die Wattleistung bzw. Laufgeschwindigkeit ermittelt. Hinzu kommt eine Atemgasanalyse, mit der die Stoffwechselprozesse im Körper unter Belastung dargestellt werden. Alle Daten, erhoben mit dem Experten-Modus der aerolution, dienen später zur Gestaltung höchst individueller Trainingspläne.
„Was die Laktatwerte angeht, die wir parallel zur Atemgasanalyse messen, reicht es mir mittlerweile nicht mehr aus, mit den bekannten Schwellentheorien zu arbeiten“, sagt GL8 Sport-Chef Rainer Schwab. „Die Schwellenmodelle sind mir an dieser Stelle eindeutig zu allgemein. Wir haben daher die Stufenlänge verändert und messen auf jeder Stufe zweimal die Laktatkonzentration im Blut. Das ermöglicht uns weitaus präzisere Aussagen zum Belastungsverlauf.“
Ziel dieser Änderung ist es, dem Diagnostiker noch genauere Daten an die Hand zu geben, mit denen später das Training des Athleten eingestellt wird, damit die zur Verfügung stehende Trainingszeit optimal genutzt werden kann. Und das in Kombination mit Familie und Beruf, denn nur die Wenigsten können sich auf einen Profistatus berufen.
Das gilt auch für Ivo Ahlquist. Der in Australien lebende Hamburger ist passionierter Triathlet und im Hauptberuf Chiropraktor. Vor einigen Tagen war Ahlquist wieder auf Heimatbesuch in Deutschland. Dabei nutzte er aber auch die Gelegenheit für eine professionelle Leistungsdiagnostik und kam hier bereits in den Genuss der neuer Methodik.
„Ivo kann sich nun mit den neuen Erkenntnissen gezielt auf die anstehende Triathlon-Saison in Australien vorbereiten“, so Rainer Schwab. „Die Saison dort startet in wenigen Wochen, während wir hier in Europa im Winterschlaf sind.“
Wenn wir Ihnen dabei helfen sollen, Ihre wertvolle Trainingszeit sinnvoll zu nutzen, dann nehmen Sie Kontakt mit uns auf. Das GL8 Sport-Team berät Sie gerne!
Den Köln Marathon fest im Blick
5. August 2015 - Zwölf Läuferinnen und Läufer aus der Laufgruppe der Koelnmesse haben im Rahmen der Vorbereitung auf den Köln Marathon 2015 einen Feldstufen-Test absolviert. Die von GL8 Sport in wöchentlichem Rhythmus betreute Betriebssport-Gruppe will bei ihrem Heimspiel den Halbmarathon laufen.
Nach festen Zeit- und Geschwindigkeitsvorgaben haben die Sportlerinnen und Sportler auf der Ostkampfbahn im Schatten des Kölner RheinEnergie-Stadions einige Runden absolviert. Zur Bestimmung der aktuellen Fitness wurden dabei die Laktatwerte und die Herzfrequenz bei der jeweiligen Belastung ermittelt. Die gemessenen Werte dienen auch dazu, die Trainingsvorgaben für die kommenden Wochen bis zum Wettkampf individuell anzupassen.
Alle Teilnehmer haben sich im Vergleich zu den Messergebnissen aus einem früheren Stufentest steigern können und starten nun frisch motiviert in den Abschluss der Vorbereitung.
Der diesjährige Köln Marathon, bei dem die Laufgruppe die knapp 21 Kilometer lange Strecke bewältigen will, findet am 4. Oktober statt.
Wollen auch Sie Ihr Training für den Köln Marathon optimieren? Noch ist genug Zeit für einen Fitness-Check und eine individuelle Anpassung ihrer Trainingspläne. Das GL8 Sport-Team berät Sie gerne.
Triathlon in Köln und Amsterdam
15. Juli 2015 - Zweimal Triathlon, zweimal am 28. Juni. Für Holger Uhlhaas und für Martin Lausmann, beide von GL8 Sport betreut, stand Ende Juni jeweils ein Triathlon im Wettkampfkalender. Der eine in Köln, der andere in Amsterdam.
Beim Rheinauhafen Triathlon in der Domstadt ging es für Holger Uhlhaas über die Sprintstrecke (0,75km/22,5km/5km). Mit einer Gesamtzeit von 1:19:34 Stunden (Vorjahr 1:21 Stunden) und Platz 25 von 170 Männern insgesamt, war der von GL8 Sport mit einer Leistungsdiagnostik samt Trainingplan sowie einem Bike Fitting betreute Triathlet ausgesprochen zufrieden. In seiner Altersklasse belegte Uhlhaas den 8. Platz und auf dem Rad Rang 16 insgesamt. Hier steigerte er seine Zeit um knapp zwei Minuten im Vergleich zum Vorjahr.
„Vor allem gezielte Tempo-Einheiten auf dem Rad in der Vorbereitung und die neue Sitzposition nach dem Bike Fitting haben mir hier sehr geholfen“, so Holger Uhlhaas.
Martin Lausmann (Bild) ging beim ICAN-Triathlon in Amsterdam über die Mitteldistanz (1,9km/90km/21km) und kam nach 5:25 Stunden ins Ziel. Trotz beruflich bedingt weniger Vorbereitungstraining als geplant, war er mit dem Rennverlauf sehr zufrieden. Immerhin belegte er am Ende Rang 236 von insgesamt 322 Startern bei den Männern. In seiner Altersklasse bedeutete das Platz 44.
Nach dem Rennen freute Lausmann sich über seine gute Schwimmzeit und einen soliden Radteil trotz teils sehr windiger Strecke.
Wer beim Triathlon-Training keine Zeit vergeuden will, trainiert besser nach Plan. Wir helfen Dir gerne dabei, Dein Training individuell anzupassen und damit „leere“ Einheiten zu vermeiden!
Starkes Ergebnis für Michael Arzt
15. Juli 2015 – Die hügelige Laufstrecke rund um den Aachener Weiher in Köln, stellte Michael Arzt vom GL8 Sport-Laufteam vor nicht allzu große Probleme.
Bereits am 17. Juni nahm der Laufsport-Fan am Kölner Unilauf teil und brauchte für die 10 Kilometer nur 45:29 Minuten. Damit belegte er insgesamt Rang 182 und sogar den 9. Platz in seiner Altersklasse (M35).
Am Ende gab es dann noch als Belohnung ein gemeinsames Foto mit „Sharky“, dem Maskottchen der Kölner Haie.
Das GL8 Sport-Team gratuliert zum tollen Ergebnis!
GL8 Sport-Team mit Leistung zufrieden
15. Juli 2015 - Wer sponsert, darf auch mitlaufen. Das dachte sich auch GL8 Sport-Chef Rainer Schwab (Bildmitte). Zusammen mit Andreas Thonnett und Zsolt Radics nahm er im Juni am EVL-Halbmarathon in Leverkusen teil.
Im Gegensatz zu seinen beiden Laufkollegen absolvierte Schwab zwar nur einen 10 km-Lauf, war aber mit der Zeit von 50:05 Minuten durchaus zufrieden.
„Mehr als über meine eigene Zeit freue ich mich natürlich über die Ergebnisse der anderen beiden“, so Rainer Schwab.
Zsolt Radics, der eigentlich auf den längeren Strecken zu Hause ist, lief zum ersten Mal „nur“ einen Halbmarathon und brauchte dafür 1:38 Stunden. Andreas Thonnett, der ebenso wie Radics von GL8 Sport mit Leistungsdiagnostiken und individuellen Trainingsplänen betreut wird, verbesserte seine persönliche Bestzeit um vier Minuten auf erstmals unter zwei Stunden. Nach 1:59 Stunden kam er in Leverkusen ins Ziel.
GL8 Sport war zudem als Partner beim EVL-Halbmarathon aktiv. Unter allen Läuferinnen und Läufern wurden drei Gutscheine für eine Leistungsdiagnostik verlost.
Wenn auch wir Ihnen bei der Erfüllung Ihrer sportlichen Ziele helfen können, dann sprechen Sie uns einfach an. Gemeinsam finden wir die passende Lösung für Sie!
Schmerzfrei in Training und Wettkampf dank Bike Fitting
15. Juli 2015 - Die beiden begeisterten Ausdauersportler Ulrike und Michael Braun haben vor kurzem ihren ersten Ironman 70.3 absolviert. Bei der Vorbereitung auf das Rennen hat GL8 Sport die beiden tatkräftig unterstützt.
Im Oktober vergangenen Jahres beschlossen die beiden Brauns, am Triathlon im Kraichgau teilzunehmen. Acht Monate intensiver Vorbereitung sollten folgen.
Während im Winter das Lauf- und Schwimmtraining im Vordergrund stand, rückte im Frühjahr das Radfahren in den Mittelpunkt. Nach den ersten kleineren Wettkämpfen zur Standortbestimmung, machten sich bei den nun längeren Radausfahrten jedoch zunehmend Rückenbeschwerden sowie Verspannungen im Nacken- und Schulterbereich bemerkbar.
Hier konnte Rainer Schwab vom GL8 Sport-Team mit einem individuellen Bike Fitting Abhilfe schaffen. Er nahm die beiden auf dem Fahrrad genau unter die Lupe und sorgte gleich an mehreren Stellen für Korrekturen.
So wurden zunächst bei Ulrike die Einlegesohlen gewechselt und eine kürzere Tretkurbel montiert. Bei Michael wurde gleich der gesamte Radschuh getauscht. Auch Sattel und Sattelstütze sowie das komplette Cockpit (Vorbau, Basis-Lenker, Aero-Aufsatz) wurden entsprechend an die Körpermaße der beiden angepasst.
„Im Rahmen von mehreren Terminen hat Rainer unsere Position auf dem Rad so optimiert, dass wieder ein komfortables und effizientes Fahren möglich war“, so die beiden Ausdauersportler.
Nach einem intensiven und vor allem schmerzfreien Trainingswochenende am Bodensee zwei Wochen vor dem Wettkampf, stand dann das Rennen im Kraichgau im Terminkalender. Zusammen mit 2500 weiteren Startern ging es zunächst auf die 1,9 km lange Schwimmstrecke.
Anschließend folgten 90km über 1.100 Höhenmeter auf dem Fahrrad, jederzeit unterstützt von den tollen Zuschauern am Straßenrand. Die dritte und letzte Disziplin verlangte den Athleten bei hochsommerlichen Temperaturen alles ab, doch auch die dreimal 7km Laufen auf der Rundstrecke absolvierten Ulrike und Michael Braun tadellos.
Sie haben auch Beschwerden beim Radtraining? Mit einem individuellen Bike Fitting können wir Ihnen vielleicht helfen? Fragen Sie uns!
Platz 7 in der Transalp-Gesamtwertung
15. Juli 2015 - Das Ziel war eine bessere Platzierung als Platz 10 im vergangenen Jahr. Am Ende der Schwalbe TOUR TransAlp 2015 landete Stephanie Brinkmann mit ihrer Teamkollegin sogar auf Rang 7.
Das GL8 Sport-Team gratuliert herzlich!
Hier geht es zur Ergebnisliste der Schwalbe TOUR TransAlp.
Platz 8 liegt in Reichweite
2. Juli 2015 - Die von uns betreute Athletin Stephanie Brinkmann und ihre Teampartnerin Els Mulder schlagen sich ordentlich bei der diesjährigen TOUR Transalp. Nach jeweils dem 9. Platz auf den Etappen 1 und 2, haben sich die beiden auf den Rennabschnitten 3 und 4 sogar einen Rang nach vorne geschoben.
Zur Halbzeit des Extremrennens liegt das Team "SteEls" insgesamt auf Rang 9. Dabei trennen sie nur 23 Sekunden vom vor ihnen liegenden Team auf Platz 8.
Der bisherige Verlauf der Etappen war also sehr stark und die beiden haben berechtigte Chancen auf Platz 8 in der Endwertung.
Wir drücken die Daumen!
Endspurt vor dem großen Abenteuer
24. Juni 2015 - Unsere Mountainbikerin Stephanie Brinkmann ist am vergangenen Wochenende beim SKS-MTB-Cup in Lennestadt-Saalhausen gestartet. Am Ende des 60 Kilometer langen Mountainbike-Marathons belegte sie dort den 4. Platz in ihrer Altersklasse. Doch dieses Rennen war nur der Abschluss der Vorbereitung auf das eigentliche Highlight.
„Ich bin in dieses Rennen mit dem Ziel gestartet, sturzfrei durchzukommen und vor allem an den Steigungen noch einmal meine aktuelle Form zu testen“, sagt Brinkmann, die von GL8 Sport seit 2014 mit Leistungsdiagnostiken, Trainingsplänen und Bike-Fittings optimal betreut wird.
Am kommenden Wochenende steht ihr nun der absolute Saisonhöhepunkt bevor. Im 2er-Team mit dem Namen „SteEls“ wird Stephanie Brinkmann die „Schwalbe Tour TransAlp“ bestreiten, die definitiv zu den eher härteren Rennen zählt.
Vom 28. Juni bis zum 5. Juli geht es über sieben Etappen von Sonthofen ins italienische Arco. Die Sportlerinnen und Sportler müssen dabei insgesamt mehr als 19.000 Höhenmeter auf einer Strecke von fast 900 Kilometern durch Deutschland, Österreich, die Schweiz und schließlich Italien überwinden. Eine einzigartige Herausforderung für jeden Athleten.
Im vergangenen Jahr hat das Team „SteEls“ den 10.Platz belegt. Ein Ziel, dass das 2er-Team im kommenden Rennen natürlich gerne übertreffen will.
„Von unserer Seite aus haben wir alles getan, um Stephanie auf den Punkt vorzubereiten“, sagt GL8 Sport-Chef Rainer Schwab. „Ich drücke ihr die Daumen, dass das Rennen optimal für sie verläuft.“
Klicken Sie auf einen der folgenden Links, wenn auch Sie mehr zu den Themen Leistungsdiagnostik, Trainingsplanung und Bike-Fitting erfahren wollen!
Leistungskurve zeigt steil nach oben
19. Juni 2015 - Triathlet Holger Uhlhaas wird seit diesem Jahr vom GL8 Sport-Team betreut. Mit Hilfe von Leistungsdiagnostiken und individuellen Trainingsplänen hat er sich auf den Bonn Triathlon als eines von zwei Hauptrennen 2015 vorbereitet.
Ende Mai stand für Holger jedoch zunächst noch das „Swim & Run Köln“ im Trainingskalender. Dort absolvierte er die 2km Schwimm- und die 14km-Laufdistanz in der angepeilten Zeit. Auf der Schwimmstrecke brauchte er am Ende sogar knapp 20 Sekunden weniger, als über die 1900m-Distanz beim Köln Triathlon 2014.
Am vergangenen Sonntag ging es dann in Bonn auf die Triathlonstrecke.
"Es lief richtig, richtig gut“, freute sich Holger Uhlhaas nach dem Rennen. "Beim Schwimmen konnte ich direkt meinen Rhythmus finden. Auch den Ausstieg habe ich früh genug anvisiert, so dass ich am Ende nur 28:18 Minuten für die 3,8 km gebraucht habe.“
Das Radfahren ging Holger dann etwas defensiver an, denn durch die gute Vorbereitung inklusive einer Streckenbesichtigung wusste er, dass die Schwierigkeiten eher zum Schluss der Etappe kamen. Die ordentliche Radzeit von 1:47 Stunden für die 58 km spricht dabei für sich. Hierbei hat ihm nicht zuletzt auch das Bike-Fitting geholfen, mit dem GL8 Sport-Chef Rainer Schwab für eine optimale Fahrposition gesorgt hat.
„Beim Laufen habe ich gemerkt, dass noch was geht“, sagt der Triathlet aus Erftstadt. “Da ich meine Zeiten und Reserven ja kannte, bin ich schön gleichmäßig gelaufen und am Ende habe ich für die 15 km 1:12 Stunden gebraucht.“
Insgesamt hieß das Platz 340 von 855 Männern im Starterfeld und Platz 62 von 145 in seiner Altersklasse.
„Ich konnte alles rausholen und war top vorbereitet“, sagte Holger erschöpft, aber glücklich nach dem Rennen. "Ich bin total motiviert für die weiteren Wettkämpfe und ich habe mich in allen drei Disziplinen verbessert. So soll es sein!“
Wenn auch Sie das Optimum aus sich herausholen wollen, dann helfen wir Ihnen gerne weiter. Wir freuen uns auf Ihre Nachricht!
Doppelt gewinnen in Windeck
16. Juni 2015 - GL8 Sport ist auch in diesem Jahr Partner des Sommerlaufs in Windeck. Alle Teilnehmerinnen und Teilnehmer haben die Möglichkeit, einen von drei Gutscheinen über eine Leistungsdiagnostik oder eine individuelle Trainingsbetreuung zu gewinnen. Zusammen mit der landschaftlich schönen Laufstrecke kann man hier also gleich doppelt gewinnen.
Die Laufveranstaltung am 21. Juni jährt sich in diesem Jahr schon zum fünften Mal. Es werden zwei Laufdistanzen über 7 km und 11 km angeboten. Auch Walker bzw. Nordic Walker kommen im schönen Naturpark Bergisches Land beiderseits der Sieg auf ihre Kosten.
Bis zum 18. Juni besteht noch die Möglichkeit, sich online für den Lauf anzumelden.
Lesen Sie hier alle Infos zum 5. Windecker Sommerlauf.
Starke Zeit für Zsolt Radics
11. Juni 2015 - Nur 43 Minuten und 41 Sekunden hat Zsolt Radics bei der Premiere des Beat Run im Kölner Rheinauhafen für die 10km-Strecke benötigt - und das ohne eine spezielle Vorbereitung.
Eigentlich ist der 44-jährige Kölner passionierte Marathonläufer und damit eher auf der langen Strecke zu Hause. Seit 2012 hat er mit Unterstützung von GL8 Sport bereits mehr als zehn Marathonläufe bestritten.
Seine starke Grundlagenausdauer, die ihm nun auch auf der 10km-Strecke zu einer ansehnlichen Zeit verholfen hat, verdankt er einem strammen Trainingspensum. Das Team von GL8 Sport stellt ihm dazu Trainingspläne zur Verfügung, die durch eine Leistungsdiagnostik jederzeit optimal auf seine individuellen Bedürfnisse und Leistungsmerkmale zugeschnitten sind.
Wollen auch Sie sich optimal auf Ihren Marathon vorbereiten? Sprechen Sie uns an, wir helfen Ihnen dabei!
GL8 Sport ist wieder Partner des EVL-Halbmarathons
11. Juni 2015 -
Auch in diesem Jahr ist GL8 Sport wieder Partner des EVL-Halbmarathons in Leverkusen. Die Starter des Laufs können dabei am 21. Juni einen von drei Gutscheinen über eine Leistungsdiagnostik oder eine individuelle Trainingsbetreuung gewinnen. Zusätzlich starten mit Andreas Thonnett, Zsolt Radics und Rainer Schwab auch drei Mitglieder des GL8 Sport-Running-Teams.
Der EVL-Halbmarathon ist seit mehr als zehn Jahren eine feste Größe unter den Volksläufen in unserer Region. Die Teilnehmer profitieren unter anderem von einer eingespielten Organisation mit vielen Verpflegungsständen, einer Pasta-Party am Vorabend des Rennens sowie einer Lauf- und Marathonmesse am gesamten Wochenende.
Für jeden Lauftyp und für jede Altersklasse sind entsprechende Strecken ausgewiesen, die den Halbmarathon zu einem tollen Sportevent für die ganze Familie machen.
Das GL8 Sport-Team wünscht allen Läuferinnen und Läufern viel Spaß und viel Erfolg!
5. Platz beim Garmin Velothon
11. Juni 2015 - Die von GL8 Sport betreute Athletin Franziska Ramme hat am 31. Mai beim Garmin Velothon in Berlin Rang Fünf im Gesamtklassement erreicht. Gleichzeitig bedeutet dies auch Platz Drei in ihrer Altersklasse.
„Das war ein anstrengendes Rennen“, sagt Franziska Ramme. „Vor allem nach den Kurven musste immer wieder den Anschluss an die Gruppe finden.“
Der Garmin Velothon Berlin ist das zweitgrößte Radrennen seiner Art in Europa. Seit 2008 lockt das Event mittlerweile bis zu 13.000 Teilnehmer an den Start. Auf unterschiedlichen Distanzen, allein oder im Team, passieren die Fahrerinnen und Fahrer dabei Highlights wie das Brandenburger Tor, den Potsdamer Platz, den Flughafen Tempelhof, die Siegessäule und die Straße des 17. Juni.
Bereits seit 2009 nimmt Franziska Ramme am Berliner Velothon teil und wurde seitdem von GL8 Sport regelmäßig mit Leistungsdiagnostiken und individuellen Trainingsplänen optimal betreut.
Das GL8 Sport-Team sagt „Herzlichen Glückwunsch zur tollen Platzierung!“
Vorbereitungsrennen erfolgreich
Matthias Fackler, von uns mit Leistungsdiagnostiken und Bikefittings unterstützter Triathlet aus Hamburg, startete im Rahmen seines Vorbereitungstrainings auf den Ironman-Triathlon im Juli in Frankfurt/Main beim diesjährigen Sprinttriathlon im Münchner Olympiapark. Allein schon die beeindruckende und historische Kulisse von Olympia-Schwimmzentrum (dort wurden 400m geschwommen), 21km Radstrecke um den gesamten Olympiapark herum und abschließendem 4,7km-Lauf mit Ziel im ehrwürdigen Olympiastadion liessen dieses Rennen für ihn etwas Besonderes sein. Zusätzlich belegte er in seiner Altersklasse auch noch den 1. Platz, so dass er diesen Wettkampf in besonderer Erinnerung behalten kann und mit einem positiven Zwischenergebnis die weitere Vorbereitung für das Langdistanz-Rennen im Juli angehen kann.
GL8 Sport-Team beim Düsseldorf-Marathon
Stefan Wilbert, Michael Arzt und Raphael Wehrmann vom GL8 Sport-Team starteten eine Woche nach dem Bonner Halbmarathon beim diesjährigen Düsseldorf-Marathon, dieses Mal allerdings als Staffel. Nach 3:12h erreichte der Schlussläufer das Ziel und die Staffel belegte den 67. Platz in der Staffelwertung - herzlichen Glückwunsch an Euch!
Vortragsabend EVL-Lauftreff 2015
Am 21.04.2015 war es wieder soweit - im Rahmen des EVL-Lauftreffs zur Vorbereitung auf den EVL-Halbmarathon im Juni in Leverkusen fanden drei Vorträge von Partnern des EVL-Lauftreffs statt. Nach einer sehr guten Startmoderation von Sebastian Hempfling, Streckensprecher beim EVL-Lauf, stellten wir den Anwesenden die (anonymisierten) Ergenisse und Erkenntnisse des Feldstufentests von März vor, den wir mit einigen Teilnehmern des Lauftreffs durchgeführt hatten und stellten uns den interssierten Nachfragen.
GL8 Sport-Team beim Bonn-HalbMarathon

Mit Stefan Wilbert und Michael Arzt starteten zwei Mitglieder unseres GL8 Sport-Teams beim Halbmarathon im Rahmen des diesjährigen Marathons in Bonn. Beide waren mit ihren gelaufenen Zeiten (1:39h bzw. 1:41h) sehr zufrieden, zumal die Trainingssteuerung nicht auf diesen Lauf ausgerichtet war.
Wir gratulieren an dieser Stelle zu dem tollen Ergebnis!
GL8 Sport-Läufer beim Wien-Marathon 2015
Zsolt Radics, Mitglied im GL8 Sport-Team und leidenschaftlicher Marathon-Läufer startete Mitte April beim Vienna City Marathon. Zsolt hat sich zum Ziel gesetzt, die Marathon-Läufe aller europäischen Hauptstädte zu absolvieren, auf dieser "Reise" war dies seine 9. Station. Es war sein erster Marathon nach überstandener Verletzungspause den er bewusst ohne andere Zielsetzung als "ankommen" anging und mit einer Zeit von 3:49:12h erfolgreich beendete.
Wir gratulieren zu diesem tollen Einstand in die neue Lauf-Saison!
3 Tage Fortbildung Bike-Fitting/Sitzpositions-Analyse




Mitte März waren wir auf einer Fortbildung zum Thema Bike-Fitting/Sitzpositions-Analyse bei Gebiomized in Münster, die auch das "internationale Symposium on Cycling Optimization" im November 2015 ausrichten. Drei Tage lang drehte sich alles um Satteldruck, Satteleinstellungen, biomechanische Fragestellungen, Anatomie, Schuheinstellungen, Lenkereinstellungen, Drucksituation im Schuh, Kraftmesskurven, Materialfragen - kurz wir sind richtig tief und spannend in dem komplexen Thema "Mensch-Maschine" unterwegs gewesen. Entsprechend motiviert sind wir natürlich auch in unserer alltäglichen Arbeit, die wir nun um die neuen Erkenntnisse ergänzen und die ersten Radfahrer und Triathleten konnten hiervon auch schon profitieren. In den kommenden Wochen werden wir unsere Dienstleistungen inhaltlich und methodisch neu strukturieren, um noch besser abgestimmte Untersuchungen anbieten zu können.
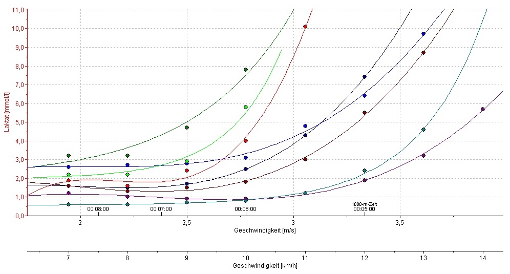
Feldtest-Diagnostik mit dem EVL-Lauftreff




Anfang März trafen sich acht Teilnehmer des EVL-Lauftreffs auf der 400m-Rundbahn der Opladener Sportanlage Birkenberg, um dort von uns leistungsdiagnostisch getestet zu werden in Form eines sog. "Feld-Stufentests". Bei trockenem Untergrund und mit fortschreitender Zeit wärmeren Temperaturen wurden die Läufer mit schneller werdenden Laufgeschwindigkeiten über die Bahn geschickt, um nach jeweils festgelegter Rundenanzahl zur Blutabnahme und HF-Übermittlung kurz anzuhalten. Für alle Teilnehmer war dies die erste Leistungsdiagnostik und dementsprechend neugierig waren sie dann auch auf die Ergebnisse, die wir Ihnen wenige Tage später in Form eines Workshops präsentiert und erläutert haben, so dass sie jetzt mit präzisen individuellen Erkenntnissen ihr Training auf dem Weg zur Teilnahme am EVL-HalbMarathon am 21.06.2015 gestalten und umsetzen können. Wir drücken Euch die Daumen für einen tollen Lauf im Juni!
Langdistanz-Triathlet zur Diagnostik in Burscheid



Matthias Fackler aus dem Team der Pa'a-Triathleten war Anfang Februar bei uns, um sich zwei Leistungsdiagnostiken professionell zu unterziehen - einmal Fahrradergometer, einmal Laufband. Auf dem Laufband erzielte er eine neue persönliche Bestmarke: er lief zuletzt 16,4km/h!
Sein Ziel für 2015 ist die Teilnahme am Ironman-Rennen in Frankfurt/Main Anfang Juli. Die Testergenisse zeigten erneut seine gute Trainingsarbeit der Vergangenheit. Sein Coach Stephan Vuckovic stellt auf der Basis unserer Diagnostiken für ihn das richtige Trainingsprogramm zusammen. Matthias hat bei dieser Gelegenheit unsere GL8 Sport-Radbekleidung einem ersten Härtetest unterzogen.
Vorbereitungs-Programm zum EVL-Halbmarathon
Im Februar startet wieder der Vorbereitungs-Lauftreff des EVL-Laufs. GL8 Sport ist wieder Partner des Programms und unterstützt die Teilnehmer und deren Trainer mit einer Leistungsdiagnostik standard in Form eines Feld-Stufentests am 07.03.2015 in Leverkusen-Opladen.